
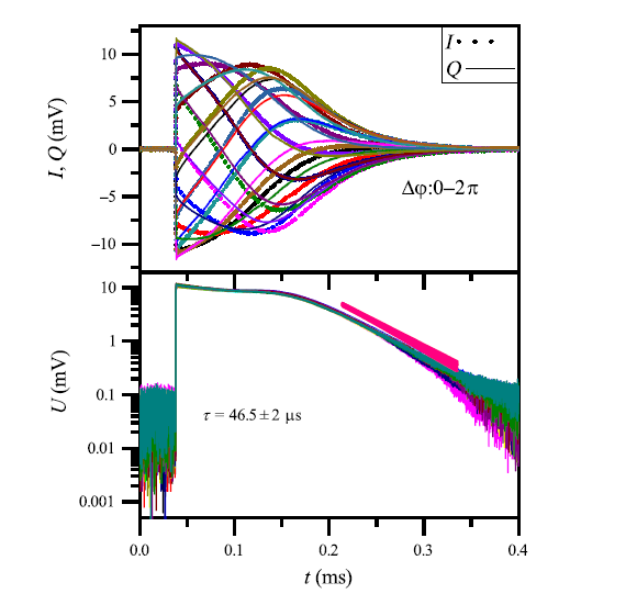
Time-resolved photoconductivity is widely used to characterize nonequilibrium charge-carrier lifetime, impurity content, and solar-cell efficiency in a broad range of semiconductors. Most measurements are limited to the detection of reflection of electromagnetic radiation at a single frequency and a single photoexciting light wavelength. We present a time-resolved photoconductivity instrument that enables broadband frequency detection (essentially from dc to 20 GHz), temperature-dependent measurements, and multiple excitation photon energy. The measurement is realized with the help of a coplanar waveguide, which acts as an efficient antenna and whose performance was tested over 10 MHz–10 GHz. The instrument enables the study of surface and bulk charge-recombination specific processes.